Keputusan Pengadilan Pajak Nomor : Put-58272/PP/M.IXA/19/2014
Tinggalkan komentar23 November 2017 oleh D.K
Keputusan Pengadilan Pajak
Putusan Pengadilan Pajak Nomor : Put-58272/PP/M.IXA/19/2014
RISALAH
Putusan Pengadilan Pajak Nomor : Put-58272/PP/M.IXA/19/2014
JENIS PAJAK
Bea Cukai
TAHUN PAJAK
2013
POKOK SENGKETA
bahwa yang menjadi pokok sengketa adalah pengajuan banding terhadap Penetapan Nilai Pabean, jenis barang berupa Skateboard S9800 YJ9908, dan lain- lain (88 jenis barang sesuai lembar lanjutan PIB), Negara asal China, yang diberitahukan oleh Pemohon Banding dengan Pemberitahuan Impor Barang (PIB) Nomor: 183770 tanggal 13 Mei 2013 Total Nilai Pabean sebesar CIF USD103,653.16, dan yang ditetapkan Terbanding menjadi Total Nilai Pabean sebesar CIF USD113,660.90;
Menurut Terbanding :
bahwa pokok permasalahan adalah penetapan nilai pabean terhadap barang impor yang diberitahukan dalam PIB Nomor: 183770 tanggal 13 Mei 2013 berupa Skateboard S9800 YJ9908, dan lain-lain (88 jenis barang sesuai lembar lanjutan PIB), Negara asal China, menjadi sebesar total CIF USD113,660.90;
Menurut Pemohon :
bahwa Pemohon Banding melakukan importasi barang berupa Skateboard S9800 YJ9908, dan lain-lain (88 jenis barang sesuai lembar lanjutan PIB), Negara asal China, yang diberitahukan dengan PIB Nomor: 183770 tanggal 13 Mei 2013 dengan nilai pabean sebesar CIF USD103,653.16;
Menurut Majelis :
bahwa Pemohon Banding melakukan importasi barang berupa Skateboard S9800 YJ9908, dan lain-lain (88 jenis barang sesuai lembar lanjutan PIB), Negara asal China, yang diberitahukan dengan PIB Nomor: 183770 tanggal 13 Mei 2013 dengan nilai pabean sebesar CIF USD103,653.16;
bahwa sesuai Keputusan Terbanding Nomor: KEP-4573/KPU.01/2013 tanggal 31 Juli 2013, berdasarkan penelitian terhadap dokumen impor serta penelitian terhadap kewajaran nilai pabean Skateboard S9800 YJ9908, dan lain-lain (88 jenis barang sesuai lembar lanjutan PIB) yang diberitahukan dalam PIB Nomor: 183770 tanggal 13 Mei 2013 tidak dapat diyakini kebenarannya sebagai nilai transaksi yang sebenarnya dan tidak dapat diterima sebagai nilai pabean, sehingga Terbanding menetapkan nilai pabean berdasarkan metode pengulangan (Fallback) dengan menggunakan metode deduksi yang diterapkan secara fleksibel sehingga total nilai pabean menjadi sebesar CIF USD113,660.90;
bahwa Pasal 15 ayat (1) Undang-Undang Nomor 10 Tahun 1995 tentang Kepabeanan sebagaimana telah diubah dengan Undang-Undang Nomor 17 Tahun 2006 menyatakan
“Nilai pabean untuk penghitungan bea masuk adalah nilai transaksi dari barang yang bersangkutan”;
bahwa berdasarkan Pasal 2 ayat (1) Peraturan Menteri Keuangan Nomor: 160/PMK.04/2010 tanggal 01 September 2010, penetapan nilai pabean berdasarkan nilai transaksi barang impor menempati hirarki pertama dari ke 6 metode yang digunakan untuk menetapkan nilai pabean;
bahwa Pasal 7 Peraturan Menteri Keuangan Nomor: 160/PMK.04/2010 tanggal 01 September 2010 menyatakan “Nilai transaksi sebagaimana dimaksud dalam Pasal 2 ayat (1) dapat diterima sebagai nilai pabean sepanjang memenuhi persyaratan sebagai berikut:
a.Tidak terdapat pembatasan-pembatasan atas pemanfaatan atau pemakaian barang impor selain pembatasan-pembatasan yang:
- Diberlakukan atau diharuskan oleh peraturan Perundang-undangan yang berlaku di dalam Daerah Pabean;
- Membatasi wilayah geografis tempat penjualan kembali barang yang bersangkutan;
- Tidak mempengaruhi nilai barang secara substansial;
b.Tidak terdapat persyaratan atau pertimbangan yang diberlakukan terhadap transaksi atau nilai barang impor yang mengakibatkan nilai barang impor yang bersangkutan tidak dapat ditentukan nilai pabeannya;
c.Tidak terdapat proceeds sebagaimana dimaksud dalam Pasal 5 ayat (3) huruf d yang harus diserahkan oleh pembeli kepada penjual, kecuali proceeds tersebut dapat ditambahkan pada harga yang sebenarnya dibayar atau yang seharusnya dibayar; dan
d.Tidak terdapat hubungan antara penjual dan pembeli sebagaimana dimaksud dalam Pasal 1 angka 3, yang mempengaruhi harga barang;
bahwa Pasal 8 Peraturan Menteri Keuangan Nomor: 160/PMK.04/2010 tanggal 01 September 2010 menyatakan “Nilai transaksi barang impor tidak dapat digunakan untuk menetapkan nilai pabean apabila:
- Barang impor bukan merupakan subyek suatu penjualan untuk diekspor ke Daerah Pabean;
- Nilai transaksi tidak memenuhi persyaratan untuk diterima dan ditetapkan sebagai nilai pabean sebagaimana dimaksud dalam Pasal 7;
- Penambahan atau pengurangan yang harus dilakukan terhadap harga yang sebenarnya atau seharusnya dibayar tidak didukung oleh data yang obyektif dan terukur, dan/atau;
- Pejabat Bea dan Cukai mempunyai alasan berdasarkan data yang obyektif dan terukur untuk meragukan kebenaran atau keakuratan pemberitahuan nilai transaksi;
bahwa Terbanding menetapkan nilai pabean atas PIB Nomor: 183770 tanggal 13 Mei 2013 dengan menggunakan metode pengulangan (Fallback) dengan menggunakan metode deduksi yang diterapkan secara fleksibel berdasarkan harga pasar, namun Terbanding tidak melampirkan data/bukti pendukung yang obyektif dan terukur berupa Kwitansi Pembelian dan/atau Price List;
bahwa alasan Pemohon Banding mengajukan banding karena harga yang Pemohon Banding beritahukan dalam PIB adalah benar merupakan harga transaksi dan Sesuai Dengan harga yang diberikan oleh Shipper Pemohon Banding Sun Union Development LTD. di Hongkong, harga yang tertera dalam PIB adalah harga yang sebenarnya yang tercantum pada Purchase Order No.140/5 Tertanggal 27 Mei 2013, jenis barang yang Pemohon Banding beritahukan dalam PIB adalah yang sebenarnya dan Sesuai dengan Packing List dan nilai yang Pemohon Banding bayar kepada Shipper sesuai dengan aplikasi transfer Bank Central Asia Jakarta tanggal 27 Mei 2013;
bahwa bukti/dokumen Terbanding adalah sebagai berikut:
- T.1. Lembar Penelitian dan Penetapan Nilai Pabean (LPPNP) tanggal 28 Mei 2013;
- T.2. Perhitungan Faktor Multiplikator;
- T.3.Print Screen SIAP – Parking Garage Cars P1099;
- T.4.Print Screen SIAP – Boxing Game A1646/341;
- T.5.Print Screen SIAP – Cars Track Set S7974/2293;
- T.6.Informasi Nilai Pabean tanggal 24 Mei 2013;
- T.7. Deklarasi Nilai Pabean tanggal 27 Mei 2013;
- T.8. Permohonan Pengiriman Uang Bank BCA tanggal 27 Mei 2013;
- T.9. Commercial Invoice Nomor: YY/1074 tanggal 17 April 2013;
- T.10. Purchase Order Nomor: 140/05 tanggal 27 Mei 2013;
bahwa bahwa bukti/dokumen Pemohon Banding adalah sebagai berikut:
- P.1. Keputusan Terbanding Nomor: KEP-4573/KPU.01/2013 tanggal 31 Juli 2013;
- P.2. SSPCP tanggal 28 Mei 2013 sebesar Rp 76.298.000,00 (SPTNP);
- P.3. SPTNP Nomor: SPTNP-008350/NOTUL/KPU-TP/BD.02/2013 tanggal 28 Mei 2013;
- P.4. Akta Notaris Nomor: 133 tanggal 19 Agustus 2008;
- P.5. Surat Keterangan Terdaftar Nomor: PEM-101/WPJ.05/KP.0203/2007 tanggal 26 Februari 2007;
- P.6. Surat Keterangan Domisili Perusahaan Nomor: 454/1.824.00/2012 tanggal 22 Oktober 2012;
- P.7. Akta Notaris Nomor: 5 tanggal 4 Desember 2006;
- P.8. PIB Nomor: 183770 tanggal 13 Mei 2013 sebesar USD CIF 103,653.16;
- P.9. SPPB Nomor: 206852/KPU.01/2013 tanggal 28 Mei 2013;P.10. Commercial Invoice Nomor: YY/1074 tanggal 17 April 2013;
- P.11. Packing List Nomor: YY/1074 tanggal 17 April 2013;
- P.12. Purchase Order Nomor: 140/05 tanggal 27 Mei 2013;
- P.13. NPWP: 02.485.042.2-036.000 tanggal 26 Februari 2007;
- P.14. KTP Nomor: 3173020411530003 tanggal 15 Desember 2011;
- P.15. Permohonan Pengiriman Uang Bank BCA tanggal 27 Mei 2013 sebesar USD 103,053.00;
- P.16. Rekening Koran periode 30 April 2013 s.d 31 Mei 2013;
- P.17. Tanda Terima Setoran Pajak tanggal 28 Mei 2013 sebesar Rp 76.398.000,00;
- P.18. SSPCP tanggal 10 Mei 2013 sebesar Rp 270.268.000,00 (PIB);
- P.19. Faktur Pajak Nomor: 010.900-13.78724183 tanggal 25 Juni 2013;
- P.20. Faktur Pajak Nomor: 010.900-13.78724182 tanggal 25 Juni 2013;
- P.21. Faktur Pajak Nomor: 010.900-13.78724181 tanggal 25 Juni 2013;
- P.22. Bukti Penerimaan Surat Nomor: S-01073137/PPN1111/WPJ.05/KP.0203/2013 tanggal 19 Juli 2013;
- P.23. SPT Masa PPN Masa Juni 2013 tanggal 19 Juli 2013;
- P.24. Buku Bank tahun 2013;
- P.25.Buku Besar Sun Union Development LT tahun 2013;
- P.26.Buku Besar – Bank BCA tahun 2013;
- P.27. Buku Bank periode 01 Mei 2013-31 Juli 2013;
- P.28. Faktur Pajak Nomor: 010.900-13.78724104 tanggal 03 Juni 2013;
- P.29. Faktur Pajak Nomor: 010.900-13.78724105 tanggal 04 Juni 2013;
- P.30. Faktur Pajak Nomor: 010.900-13.78724109 tanggal 05 Juni 2013;
- P.31. Faktur Pajak Nomor: 010.900-13.78724111 tanggal 07 Juni 2013;
- P.32. Faktur Pajak Nomor: 010.900-13.78724112 tanggal 07 Juni 2013;
- P.33.Faktur Pajak Nomor: 010.900-13.78724113 tanggal 07 Juni 2013;
- P.34.Buku Daftar Stok Barang periode 03 Juni 2014 – 19 Juli 2014;
- P.35.Buku Daftar Penjualan periode 03 Juni 2014 – 19 Juli 2014;
bahwa hasil pemeriksaan atas dokumen impor dan bukti-bukti yang diserahkan Pemohon Banding dalam persidangan adalah sebagai berikut:
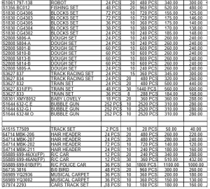
bahwa Pemohon Banding dengan Purchase Order Nomor: 140/05 tanggal 27 Mei 2013, mengajukan pembelian atas Skateboard S9800 YJ9908, dan lain-lain (88 jenis barang sesuai lembar lanjutan PIB), kepada Sun Union Development Ltd., dengan perincian sebagai berikut:
|
No
|
Item No.
|
Description of Goods
|
Quantity (Pcs)
|
Unit Price (USD/Pce)
|
Amount (USD)
|
|
|
1
|
S9800
|
YJ9908
|
SKATEBOARD
|
480
|
1,827
|
876,96
|
|
2
|
S9800
|
YJ9910
|
SKATEBOARD
|
600
|
2,044
|
1226,40
|
|
3
|
S9800
|
YJ9905
|
SKATEBOARD SPRING
|
2880
|
427
|
1229,76
|
|
4
|
S9800
|
YJ9601
|
SKATEBOARD SPRING
|
2880
|
910
|
2620,80
|
|
5
|
S9800
|
YJ9906
|
SKATEBOARD SPRING
|
2880
|
399
|
1149,12
|
|
6
|
S9800
|
9104A
|
SKATEBOARD SPRING
|
9600
|
203
|
1948,80
|
|
7
|
S5889
|
699-46(X)(FP)
|
R/C CAR
|
240
|
5,430
|
1303,20
|
|
8
|
S5889
|
699-46A(X)(FP)
|
R/C CAR
|
360
|
5,430
|
1954,80
|
|
9
|
S5889
|
699-01BC(FP)
|
R/C POLICE CAR
|
1800
|
2,212
|
3981,60
|
|
10
|
S4714
|
MBK-206
|
HAIR HEADER
|
480
|
1,442
|
692,16
|
|
11
|
S4714
|
MBK-207
|
HAIR HEADER
|
480
|
1,743
|
836,64
|
|
12
|
S4714
|
MBK-202
|
HAIR HEADER
|
720
|
616
|
443,52
|
|
13
|
S4714
|
MBK-211
|
HAIR HEADER
|
240
|
1,708
|
409,92
|
|
14
|
S6989
|
YQ2936
|
MUSICAL CARPET
|
360
|
2,233
|
803,88
|
|
15
|
S6989
|
YQ3002
|
MUSICAL CARPET
|
360
|
1,708
|
614,88
|
|
16
|
S6735
|
3816
|
B/O BIRD
|
960
|
1,232
|
1182,72
|
|
17
|
S7974
|
2293
|
CARS TRACK SET
|
180
|
2,268
|
408,24
|
|
18
|
S7974
|
2283
|
CARS TRACK SET
|
360
|
1,862
|
670,32
|
|
19
|
A1515
|
T7509
|
TRACK SET
|
20
|
34,076
|
681,52
|
|
20
|
A1523
|
601-5A
|
R/C CAR
|
720
|
3,304
|
2378,88
|
|
21
|
A1523
|
601-6A
|
R/C CAR
|
720
|
3,304
|
2378,88
|
|
22
|
A1166
|
326A
|
B/O MOTO
|
480
|
1,491
|
715,68
|
|
23
|
A1645
|
JR-301
|
BLOCKS SET
|
900
|
1,141
|
1026,90
|
|
24
|
A1645
|
JR-300
|
BLOCKS SET
|
1620
|
777
|
1258,74
|
|
25
|
A1648
|
6666(FP)
|
PLAYSET
|
360
|
3,374
|
1214,64
|
|
26
|
A1648
|
6677(FP)
|
PLAYSET
|
480
|
2,555
|
1226,40
|
|
27
|
A1648
|
6678(FP)
|
PLAYSET
|
480
|
2,793
|
1340,64
|
|
28
|
S2923
|
MQ-019FM
|
KEYBOARD
|
240
|
5,684
|
1364,16
|
|
29
|
A474
|
P1099
|
PARKING GARAGE CARS
|
270
|
2,30
|
621,81
|
|
30
|
A474
|
P0899
|
PARKING GARAGE CARS
|
360
|
1,72
|
619,92
|
|
31
|
A474
|
P0699
|
PARKING GARAGE CARS
|
360
|
1,568
|
564,48
|
|
32
|
A1522
|
0833A-1
|
IC STICK
|
1620
|
539
|
873,18
|
|
33
|
A1522
|
688-4
|
Id STICK
|
900
|
805
|
724,50
|
|
34
|
A1649
|
5588-2BC
|
FRUIT SET
|
900
|
525
|
472,50
|
|
35
|
A733
|
1005A
|
B/O DINO
|
720
|
1,477
|
1063,44
|
|
36
|
A1519
|
LB368A-2
|
DOLL SET
|
1920
|
546
|
1048,32
|
|
37
|
A1058
|
258-11
|
SWORD
|
1440
|
602
|
866,88
|
|
38
|
1422
|
3236(FP)
|
CARS
|
1080
|
0,497
|
536,76
|
|
39
|
1422
|
3128(FP)
|
SWORD
|
1440
|
0,623
|
897,12
|
|
40
|
S3627
|
833
|
BLOCKS SET
|
168
|
3,936
|
661,25
|
|
41
|
S3627
|
837
|
BLOCKS SET
|
216
|
2,94
|
635,04
|
|
42
|
S3627
|
834
|
TRAIN SET
|
720
|
2,079
|
1496,88
|
|
43
|
S3627
|
832
|
TRACK RACING SET
|
360
|
2,037
|
733,32
|
|
44
|
S3627
|
831(FP)
|
TRACK RACING SET
|
480
|
1,792
|
860,16
|
|
45
|
S2808
|
5806-A
|
TRAIN SET
|
480
|
2,254
|
1081,92
|
|
46
|
S2808
|
5804-A
|
TRAIN SET
|
1440
|
tool
|
1441,44
|
|
47
|
S2808
|
5801-B
|
DOUGH SET
|
240
|
1,757
|
421,68
|
|
48
|
S2808
|
5810-B
|
DOUGH SET
|
240
|
1,757
|
421,68
|
|
49
|
S2808
|
5813-B
|
DOUGH SET
|
600
|
847
|
508,20
|
|
50
|
S2808
|
5814-B
|
DOUGH SET
|
600
|
847
|
508,20
|
|
51
|
S2808
|
5805-A
|
DOUGH SET
|
600
|
847
|
508,20
|
|
52
|
S8301
|
XMY8052
|
DOUGH SET
|
600
|
847
|
508,20
|
|
53
|
S1356
|
BC012
|
DOUGH SET
|
240
|
1,757
|
421,68
|
|
54
|
S1061
|
797-136
|
BABY LOVELY
|
360
|
3,976
|
1431,36
|
|
55
|
S1061
|
797-137
|
FISHING SET
|
960
|
1,211
|
1162,56
|
|
56
|
S1061
|
797-138
|
ROBOT
|
480
|
2,555
|
1226,40
|
|
57
|
S1830
|
CG4306
|
ROBOT
|
480
|
3,024
|
1451,52
|
|
58
|
S1830
|
CG4303
|
ROBOT
|
480
|
3,024
|
1451,52
|
|
59
|
S1830
|
CG4305
|
BLOCKS SET
|
720
|
1,022
|
735,84
|
|
60
|
S1830
|
CG4304
|
BLOCKS SET
|
720
|
1,022
|
735,84
|
|
61
|
S1830
|
CG4302
|
BLOCKS SET
|
360
|
2,212
|
796,32
|
|
62
|
S1644
|
632-C.E
|
BLOCKS SET
|
360
|
2,212
|
796,32
|
|
63
|
S1644
|
632-G.I
|
BLOCKS SET
|
240
|
3,143
|
754,32
|
|
64
|
S1644
|
632-M.0
|
BUBBLE GUN
|
2520
|
192
|
483,84
|
|
65
|
S8544
|
10922T-1(FP)
|
BUBBLE GUN
|
2520
|
192
|
483,84
|
|
66
|
S8544
|
83183(FP)
|
BUBBLE GUN
|
2520
|
192
|
483,84
|
|
67
|
S8544
|
61345T-1(FP)
|
DOLL SET
|
540
|
1,211
|
653,94
|
|
68
|
S8544
|
9005(FP)
|
DOLL SET
|
600
|
847
|
508,20
|
|
69
|
S9136
|
YH828-4
|
DOLL SET
|
720
|
931
|
670,32
|
|
70
|
S9136
|
YH838-2
|
DOLL SET
|
1440
|
0,35
|
504,00
|
|
71
|
S5901
|
2291-2
|
KITCHEN SET
|
300
|
1,533
|
459,90
|
|
72
|
A1646
|
341
|
KITCHEN SET
|
300
|
1,771
|
531,30
|
|
73
|
S7582
|
9615
|
BEADS SET
|
900
|
791
|
711,90
|
|
74
|
S7582
|
8832
|
BOXING GAME
|
540
|
966
|
521,64
|
|
75
|
S5898
|
609-1A
|
DRAWING BOARD
|
240
|
2,149
|
515,76
|
|
76
|
S5898
|
609-1B
|
DRAWING BOARD
|
240
|
2,184
|
524,16
|
|
77
|
S293
|
9909
|
FISHING SET
|
600
|
0,84
|
504,00
|
|
78
|
S293
|
9908
|
FISHING SET
|
600
|
0,84
|
504,00
|
|
79
|
S5678
|
26212HK
|
SKATEBOARD
|
2400
|
385
|
924,00
|
|
80
|
S5678
|
26214HK
|
SKATEBOARD
|
7680
|
231
|
1774,08
|
|
81
|
1422
|
3236(FP)
|
KITCHEN SET
|
180
|
3,374
|
607,32
|
|
82
|
1422
|
3128(FP)
|
KITCHEN SET
|
180
|
3,374
|
607,32
|
|
83
|
S5678
|
26215HK
|
KITCHEN SET
|
180
|
3,374
|
607,32
|
|
84
|
S119811,
|
F1017ABDEG
|
1:32 CAR SET
|
1800
|
0,93
|
1674,00
|
|
85
|
S2923
|
MQ-017FM
|
KEYBOARD
|
480
|
4,207
|
2019,36
|
|
86
|
S2923
|
MQ-015FN
|
KEYBOARD
|
1200
|
1,806
|
2167,20
|
|
87
|
PVC TOY BAGS
|
31/Box
|
9300,00
|
|||
|
88
|
TOY MOULD
|
3,500.00
|
||||
|
96,220.16
|
||||||
|
Ocean Freight
|
7,200.00
|
|||||
|
Insurance
|
233.00
|
|||||
|
TOTAL
|
103,653.16
|
|||||
bahwa Sun Union Development Ltd. Selanjutnya menerbitkan Commercial Invoice Nomor: YY/1074 tanggal 17 April 2013 dengan rincian sebagai berikut:
|
No
|
Item No.
|
Description of Goods
|
Quantity (Pcs)
|
Unit Price (USD/Pce)
|
Amount (USD)
|
|
|
1
|
S9800
|
YJ9908
|
SKATEBOARD
|
480
|
1,827
|
876,96
|
|
2
|
S9800
|
YJ9910
|
SKATEBOARD
|
600
|
2,044
|
1226,40
|
|
3
|
S9800
|
YJ9905
|
SKATEBOARD SPRING
|
2880
|
427
|
1229,76
|
|
4
|
S9800
|
YJ9601
|
SKATEBOARD SPRING
|
2880
|
910
|
2620,80
|
|
5
|
S9800
|
YJ9906
|
SKATEBOARD SPRING
|
2880
|
399
|
1149,12
|
|
6
|
S9800
|
9104A
|
SKATEBOARD SPRING
|
9600
|
203
|
1948,80
|
|
7
|
S5889
|
699-46(X)(FP)
|
R/C CAR
|
240
|
5,430
|
1303,20
|
|
8
|
S5889
|
699-46A(X)(FP)
|
R/C CAR
|
360
|
5,430
|
1954,80
|
|
9
|
S5889
|
699-01BC(FP)
|
R/C POLICE CAR
|
1800
|
2,212
|
3981,60
|
|
10
|
S4714
|
MBK-206
|
HAIR HEADER
|
480
|
1,442
|
692,16
|
|
11
|
S4714
|
MBK-207
|
HAIR HEADER
|
480
|
1,743
|
836,64
|
|
12
|
S4714
|
MBK-202
|
HAIR HEADER
|
720
|
616
|
443,52
|
|
13
|
S4714
|
MBK-211
|
HAIR HEADER
|
240
|
1,708
|
409,92
|
|
14
|
S6989
|
YQ2936
|
MUSICAL CARPET
|
360
|
2,233
|
803,88
|
|
15
|
S6989
|
YQ3002
|
MUSICAL CARPET
|
360
|
1,708
|
614,88
|
|
16
|
S6735
|
3816
|
B/O BIRD
|
960
|
1,232
|
1182,72
|
|
17
|
S7974
|
2293
|
CARS TRACK SET
|
180
|
2,268
|
408,24
|
|
18
|
S7974
|
2283
|
CARS TRACK SET
|
360
|
1,862
|
670,32
|
|
19
|
A1515
|
T7509
|
TRACK SET
|
20
|
34,076
|
681,52
|
|
20
|
A1523
|
601-5A
|
R/C CAR
|
720
|
3,304
|
2378,88
|
|
21
|
A1523
|
601-6A
|
R/C CAR
|
720
|
3,304
|
2378,88
|
|
22
|
A1166
|
326A
|
B/O MOTO
|
480
|
1,491
|
715,68
|
|
23
|
A1645
|
JR-301
|
BLOCKS SET
|
900
|
1,141
|
1026,90
|
|
24
|
A1645
|
JR-300
|
BLOCKS SET
|
1620
|
777
|
1258,74
|
|
25
|
A1648
|
6666(FP)
|
PLAYSET
|
360
|
3,374
|
1214,64
|
|
26
|
A1648
|
6677(FP)
|
PLAYSET
|
480
|
2,555
|
1226,40
|
|
27
|
A1648
|
6678(FP)
|
PLAYSET
|
480
|
2,793
|
1340,64
|
|
28
|
S2923
|
MQ-019FM
|
KEYBOARD
|
240
|
5,684
|
1364,16
|
|
29
|
A474
|
P1099
|
PARKING GARAGE CARS
|
270
|
2,30
|
621,81
|
|
30
|
A474
|
P0899
|
PARKING GARAGE CARS
|
360
|
1,72
|
619,92
|
|
31
|
A474
|
P0699
|
PARKING GARAGE CARS
|
360
|
1,568
|
564,48
|
|
32
|
A1522
|
0833A-1
|
IC STICK
|
1620
|
539
|
873,18
|
|
33
|
A1522
|
688-4
|
Id STICK
|
900
|
805
|
724,50
|
|
34
|
A1649
|
5588-2BC
|
FRUIT SET
|
900
|
525
|
472,50
|
|
35
|
A733
|
1005A
|
B/O DINO
|
720
|
1,477
|
1063,44
|
|
36
|
A1519
|
LB368A-2
|
DOLL SET
|
1920
|
546
|
1048,32
|
|
37
|
A1058
|
258-11
|
SWORD
|
1440
|
602
|
866,88
|
|
38
|
1422
|
3236(FP)
|
CARS
|
1080
|
0,497
|
536,76
|
|
39
|
1422
|
3128(FP)
|
SWORD
|
1440
|
0,623
|
897,12
|
|
40
|
S3627
|
833
|
BLOCKS SET
|
168
|
3,936
|
661,25
|
|
41
|
S3627
|
837
|
BLOCKS SET
|
216
|
2,94
|
635,04
|
|
42
|
S3627
|
834
|
TRAIN SET
|
720
|
2,079
|
1496,88
|
|
43
|
S3627
|
832
|
TRACK RACING SET
|
360
|
2,037
|
733,32
|
|
44
|
S3627
|
831(FP)
|
TRACK RACING SET
|
480
|
1,792
|
860,16
|
|
45
|
S2808
|
5806-A
|
TRAIN SET
|
480
|
2,254
|
1081,92
|
|
46
|
S2808
|
5804-A
|
TRAIN SET
|
1440
|
tool
|
1441,44
|
|
47
|
S2808
|
5801-B
|
DOUGH SET
|
240
|
1,757
|
421,68
|
|
48
|
S2808
|
5810-B
|
DOUGH SET
|
240
|
1,757
|
421,68
|
|
49
|
S2808
|
5813-B
|
DOUGH SET
|
600
|
847
|
508,20
|
|
50
|
S2808
|
5814-B
|
DOUGH SET
|
600
|
847
|
508,20
|
|
51
|
S2808
|
5805-A
|
DOUGH SET
|
600
|
847
|
508,20
|
|
52
|
S8301
|
XMY8052
|
DOUGH SET
|
600
|
847
|
508,20
|
|
53
|
S1356
|
BC012
|
DOUGH SET
|
240
|
1,757
|
421,68
|
|
54
|
S1061
|
797-136
|
BABY LOVELY
|
360
|
3,976
|
1431,36
|
|
55
|
S1061
|
797-137
|
FISHING SET
|
960
|
1,211
|
1162,56
|
|
56
|
S1061
|
797-138
|
ROBOT
|
480
|
2,555
|
1226,40
|
|
57
|
S1830
|
CG4306
|
ROBOT
|
480
|
3,024
|
1451,52
|
|
58
|
S1830
|
CG4303
|
ROBOT
|
480
|
3,024
|
1451,52
|
|
59
|
S1830
|
CG4305
|
BLOCKS SET
|
720
|
1,022
|
735,84
|
|
60
|
S1830
|
CG4304
|
BLOCKS SET
|
720
|
1,022
|
735,84
|
|
61
|
S1830
|
CG4302
|
BLOCKS SET
|
360
|
2,212
|
796,32
|
|
62
|
S1644
|
632-C.E
|
BLOCKS SET
|
360
|
2,212
|
796,32
|
|
63
|
S1644
|
632-G.I
|
BLOCKS SET
|
240
|
3,143
|
754,32
|
|
64
|
S1644
|
632-M.0
|
BUBBLE GUN
|
2520
|
192
|
483,84
|
|
65
|
S8544
|
10922T-1(FP)
|
BUBBLE GUN
|
2520
|
192
|
483,84
|
|
66
|
S8544
|
83183(FP)
|
BUBBLE GUN
|
2520
|
192
|
483,84
|
|
67
|
S8544
|
61345T-1(FP)
|
DOLL SET
|
540
|
1,211
|
653,94
|
|
68
|
S8544
|
9005(FP)
|
DOLL SET
|
600
|
847
|
508,20
|
|
69
|
S9136
|
YH828-4
|
DOLL SET
|
720
|
931
|
670,32
|
|
70
|
S9136
|
YH838-2
|
DOLL SET
|
1440
|
0,35
|
504,00
|
|
71
|
S5901
|
2291-2
|
KITCHEN SET
|
300
|
1,533
|
459,90
|
|
72
|
A1646
|
341
|
KITCHEN SET
|
300
|
1,771
|
531,30
|
|
73
|
S7582
|
9615
|
BEADS SET
|
900
|
791
|
711,90
|
|
74
|
S7582
|
8832
|
BOXING GAME
|
540
|
966
|
521,64
|
|
75
|
S5898
|
609-1A
|
DRAWING BOARD
|
240
|
2,149
|
515,76
|
|
76
|
S5898
|
609-1B
|
DRAWING BOARD
|
240
|
2,184
|
524,16
|
|
77
|
S293
|
9909
|
FISHING SET
|
600
|
0,84
|
504,00
|
|
78
|
S293
|
9908
|
FISHING SET
|
600
|
0,84
|
504,00
|
|
79
|
S5678
|
26212HK
|
SKATEBOARD
|
2400
|
385
|
924,00
|
|
80
|
S5678
|
26214HK
|
SKATEBOARD
|
7680
|
231
|
1774,08
|
|
81
|
1422
|
3236(FP)
|
KITCHEN SET
|
180
|
3,374
|
607,32
|
|
82
|
1422
|
3128(FP)
|
KITCHEN SET
|
180
|
3,374
|
607,32
|
|
83
|
S5678
|
26215HK
|
KITCHEN SET
|
180
|
3,374
|
607,32
|
|
84
|
S119811,
|
F1017ABDEG
|
1:32 CAR SET
|
1800
|
0,93
|
1674,00
|
|
85
|
S2923
|
MQ-017FM
|
KEYBOARD
|
480
|
4,207
|
2019,36
|
|
86
|
S2923
|
MQ-015FN
|
KEYBOARD
|
1200
|
1,806
|
2167,20
|
|
87
|
PVC TOY BAGS
|
31/Box
|
9300,00
|
|||
|
88
|
TOY MOULD
|
3,500.00
|
||||
|
96,220.16
|
||||||
|
Ocean Freight
|
7,200.00
|
|||||
|
Insurance
|
233.00
|
|||||
|
TOTAL
|
103,653.16
|
|||||
bahwa Sun Union Development Ltd. selanjutnya menerbitkan Packing List Nomor: YY/1074 tanggal 17 April 2013, dengan rincian sebagai berikut:

|
Ítem No
|
Description
|
Ctn Pack
|
No Of Ctns
|
Quantity
|
Gross Weight (KG)
|
Net Weight (KG)
|
|
S7974 2283
|
CARS TRACK SET
|
24 PCS
|
15
|
360 PCS
|
225.00
|
195.00
|
|
89800 YJ9908
|
SKATEBOARD SPRING
|
48 PCS
|
10
|
480 PCS
|
275.00
|
225.00
|
|
59800 YJ9910
|
SKATEBOARD SPRING
|
60 PCS
|
10
|
600 PCS
|
210.00
|
170.00
|
|
89800 YJ9905
|
SKATEBOARD SPRING
|
144 PCS
|
20
|
2880 PCS
|
280.00
|
220.00
|
|
S9800 YJ9601
|
SKATEBOARD SPRING
|
144 PCS
|
20
|
2880 PCS
|
410.00
|
340.00
|
|
S9800 YJ9906
|
SKATEBOARD SPRING
|
144 PCS
|
20
|
2880 PCS
|
240.00
|
180.00
|
|
S9800 YJ9104A
|
SKATEBOARD SPRING
|
480 PCS
|
20
|
9600 PCS
|
390.00
|
330.00
|
|
EMCU9803546
|
||||||
|
A1646 341
|
BOXING GAME
|
36 PCS
|
15
|
540 PCS
|
360.00
|
330.00
|
|
S0293 9908
|
SKATEBOARD
|
384 PCS
|
20
|
7680 PCS
|
340.00
|
272.00
|
|
S0293 9909
|
SKATEBOARD
|
120 PCS
|
20
|
2400 PCS
|
160.00
|
130.00
|
|
S5678 26212HK
|
KITCHEN SET
|
18 PCS
|
10
|
180 PCS
|
160.00
|
140.00
|
|
S5678 26214HK
|
KITCHEN SET
|
18 PCS
|
10
|
180 PCS
|
150.00
|
120.00
|
|
S5678 26215HK
|
KITCHEN SET
|
18 PCS
|
10
|
180 PCS
|
165.00
|
145.00
|
|
S5898 609-1A
|
FISHING SET
|
60 PCS
|
10
|
600 PCS
|
215.00
|
195.00
|
|
S5898 609-1B
|
FISHING SET
|
60 PCS
|
10
|
600 PCS
|
220.00
|
200.00
|
|
S5901 2291-2
|
BEADS SET
|
60 PCS
|
15
|
900 PCS
|
270.00
|
225.00
|
|
S7582 9615
|
DRAWING BOARD
|
24 PCS
|
10
|
240 PCS
|
150.00
|
120.00
|
|
S7582 8832
|
DRAWING BOARD
|
24 PCS
|
10
|
240 PCS
|
150.00
|
120.00
|
|
S8544 10922T-1(FP)
|
DOLL SET
|
36 PCS
|
15
|
540 PCS
|
180.00
|
150.00
|
|
S8544 83183(FP)
|
DOLL SET
|
60 PCS
|
10
|
800 PCS
|
160.00
|
140.00
|
|
S8544 61345T(FP)
|
DOLL SET
|
48 PCS
|
15
|
720 PCS
|
195.00
|
165.00
|
|
S8544 9005(FP)
|
DOLL SET
|
144 PCS
|
101
|
440 PCS
|
170.00
|
150.00
|
|
S9138 YH828-4
|
KITCHEN SET
|
30 PCS
|
10
|
300 PCS
|
150.00
|
120.00
|
|
S9138 YH838-2
|
KITCHEN SET
|
30 PCS
|
10
|
300 PCS
|
180.00
|
160.00
|
|
81198114F1017ABDEG
|
1:32CAR SET
|
120 PCS
|
151
|
800 PCS
|
255.00
|
225.00
|
|
82923 MQ-017FM
|
KEYBOARD
|
24 PCS
|
20
|
480 PCS
|
446.00
|
400.00
|
|
S2923 MQ-015FM
|
KEYBOARD
|
60 PCS
|
20 1
|
200 PCS
|
454.00
|
482.00
|
|
PVC TOY BAGS
|
300
|
7084.50
|
6924.50
|
|||
|
TOY MOULD
|
61
|
2063.40
|
2044.00
|
|||
|
TOTAL
|
1649
|
83714
|
33253.90
|
30167.00
|
bahwa Supplier selanjutnya melakukan pengiriman barang dengan Bill of Lading Nomor: EGLV157300034881 tanggal 25 April 2013 yang menerangkan hal-hal sebagai berikut:
Shipper: Sun Union Development Ltd. Consignees Name : PT XXXPort of Loading : ShantouPort of Discharge : Jakarta, IndonesiaDescription : 4 x 40’ HC “Skateboard S9800 YJ9908, dan lain-lain” Gross Weight : 33,253.00 Kgs
bahwa berdasarkan pemeriksaan Majelis terhadap dokumen impor yang disampaikan Pemohon Banding, diketahui barang yang diimpor Pemohon Banding sesuai dengan Commercial Invoice Nomor: YY/1074 tanggal 17 April 2013 adalah Skateboard S9800 YJ9908, dan lain-lain (88 jenis barang sesuai lembar lanjutan PIB) dari Sun Union Development Ltd. dengan harga sebesar total CIF USD103,653.16;
bahwa barang impor Skateboard S9800 YJ9908, dan lain-lain (88 jenis barang sesuai lembar lanjutan PIB) dengan Commercial Invoice Nomor: YY/1074 tanggal 17 April 2013 telah diasuransikan di dalam negeri (Incoterm CIF);
bahwa barang Skateboard S9800 YJ9908, dan lain-lain (88 jenis barang sesuai lembar lanjutan PIB) dari Sun Union Development Ltd. dengan Bill of Lading Nomor: EGLV157300034881 tanggal 25 April 2013 dan Commercial Invoice Nomor: YY/1074 tanggal 17 April 2013 telah diberitahukan dalam PIB Nomor: 183770 tanggal 13 Mei 2013 dengan nilai pabean sebesar CIF USD103,653.16;
bahwa berdasarkan pemeriksaan Majelis terhadap dokumen impor Pemohon Banding, diketahui barang yang diimpor sesuai dengan PIB Nomor: 183770 tanggal 13 Mei 2013 adalah Impor Skateboard S9800 YJ9908, dan lain-lain (88 jenis barang sesuai lembar lanjutan PIB) dari Sun Union Development Ltd., dengan total harga CIF USD103,653.16 sesuai dengan Purchase Order Nomor: 140/05 tanggal 27 Mei 2013 dan Commercial Invoice Nomor: YY/1074 tanggal 17 April 2013;
bahwa berdasarkan pemeriksaan Majelis terhadap Aplikasi Transfer Bank Central Asia (BCA) KCP Mandala Raya, Jakarta tanggal 27 Mei 2013 sebesar IDR1.015.540.009,00 ((USD103,653.16 X IDR9.797,00) + Charge IDR50.000,00), Rekening Koran periode 30 April 2013 s.d. 31 Mei 2013 serta dalam Buku Bank bulan Mei 2013, Pemohon Banding mencatat pembayaran kepada Sun Union Development Ltd. sebesar tersebut di atas. Dengan demikian, Majelis berpendapat bahwa Aplikasi Transfer Bank Central Asia (BCA) KCP Mandala Raya, Jakarta tanggal 27 Mei 2013 sebesar IDR1.015.540.009,00 di atas adalah untuk pembayaran Commercial Invoice Nomor: YY/1074 tanggal 17 April 2013;
MENIMBANG
bahwa berdasarkan pertimbangan tersebut di atas, Majelis berpendapat bahwa harga barang impor berupa Skateboard S9800 YJ9908, dan lain-lain (88 jenis barang sesuai lembar lanjutan PIB), Negara asal China, yang tercantum dalam Commercial Invoice Nomor: YY/1074 tanggal 17 April 2013 dan telah diberitahukan sebagai nilai pabean dalam PIB Nomor: 183770 tanggal 13 Mei 2013 sebesar total CIF USD103,653.16 adalah merupakan harga yang sebenarnya atau yang seharusnya dibayar Pemohon Banding. Oleh karenanya, Majelis berkesimpulan mengabulkan seluruhnya permohonan banding Pemohon Banding dan menetapkan nilai pabean atas barang impor berupa Skateboard S9800 YJ9908, dan lain-lain (88 jenis barang sesuai lembar lanjutan PIB), Negara asal China, yang diberitahukan dengan PIB Nomor: 183770 tanggal 13 Mei 2013 sebesar total CIF USD103,653.16;
MENGINGAT
1. Undang-Undang Nomor 14 Tahun 2002 tentang Pengadilan Pajak.
2. Undang-Undang Nomor 10 Tahun 1995 tentang Kepabeanan sebagaimana telah diubah dengan Undang-Undang Nomor 17 Tahun 2006.
3. Peraturan perundang-undangan lainnya yang berkaitan dengan perkara ini.
MEMUTUSKAN
Mengabulkan seluruhnya permohonan banding Pemohon Banding terhadapKeputusan Direktur Jenderal Bea dan Cukai Nomor: KEP-4573/KPU.01/2013 tanggal 31 Juli 2013 tentang Penetapan atas Keberatan XXX Terhadap Penetapan yang Dilakukan oleh Pejabat Bea dan Cukai dalam SPTNP Nomor: SPTNP-008350/NOTUL/KPU-TP/BD.02/2013 tanggal 28 Mei 2013, atas nama XXX, dan menetapkan nilai pabean atas barang impor berupa Skateboard S9800 YJ9908, dan lain-lain (88 jenis barang sesuai lembar lanjutan PIB), Negara asal China, yang diberitahukan dengan PIB Nomor: 183770 tanggal 13 Mei 2013 sebesar total CIF USD103,653.16 sehingga pajak dalam rangka impor dan denda administrasi yang masih harus dibayar adalah nihil;
Demikian diputus di Jakarta pada hari Selasa tanggal 19 Agustus 2014 berdasarkan musyawarah Majelis IXA Pengadilan Pajak dengan susunan Majelis Hakim dan Panitera Pengganti sebagai berikut:
Sudirman S., SH, MH sebagai Hakim Ketua,
Drs. Sunarto, MM sebagai Hakim Anggota,
Usman Pasaribu, S.Sos. sebagai Hakim Anggota,
Zulfenny E. N. Nerwan sebagai Panitera Pengganti,
Putusan Nomor: Put.58272/PP/M.IXA/19/2014 diucapkan dalam sidang terbuka untuk umum pada hari Selasa tanggal 9 Desember 2014 oleh Hakim Ketua dengan susunan Majelis Hakim berdasarkan Keputusan Ketua Pengadilan Pajak Nomor: KEP-010/PP/2014 tanggal 18 Agustus 2014 dan Panitera Pengganti sebagai berikut:
Sudirman S., SH, MH sebagai Hakim Ketua,
Drs. Sunarto, MM sebagai Hakim Anggota,
Drs. Surendro Suprijadi, MM sebagai Hakim Anggota,
Zulfenny E. N. Nerwan sebagai Panitera Pengganti,
dihadiri oleh para Hakim Anggota dan Panitera Pengganti serta tidak dihadiri olehTerbanding dan Pemohon Banding
